Today [Today] Total Present Absent View
Student 1200 1000 200 Details...
Teachers 170 165 5 Details...
Stuffs 200 198 2 Details...
Vacant Info Total Class/ Depertment/ Field
Student 40 Click to see available possition
Teacher 7 Click to see available possition
Stuffs 3 Click to see available possition
More Statistics

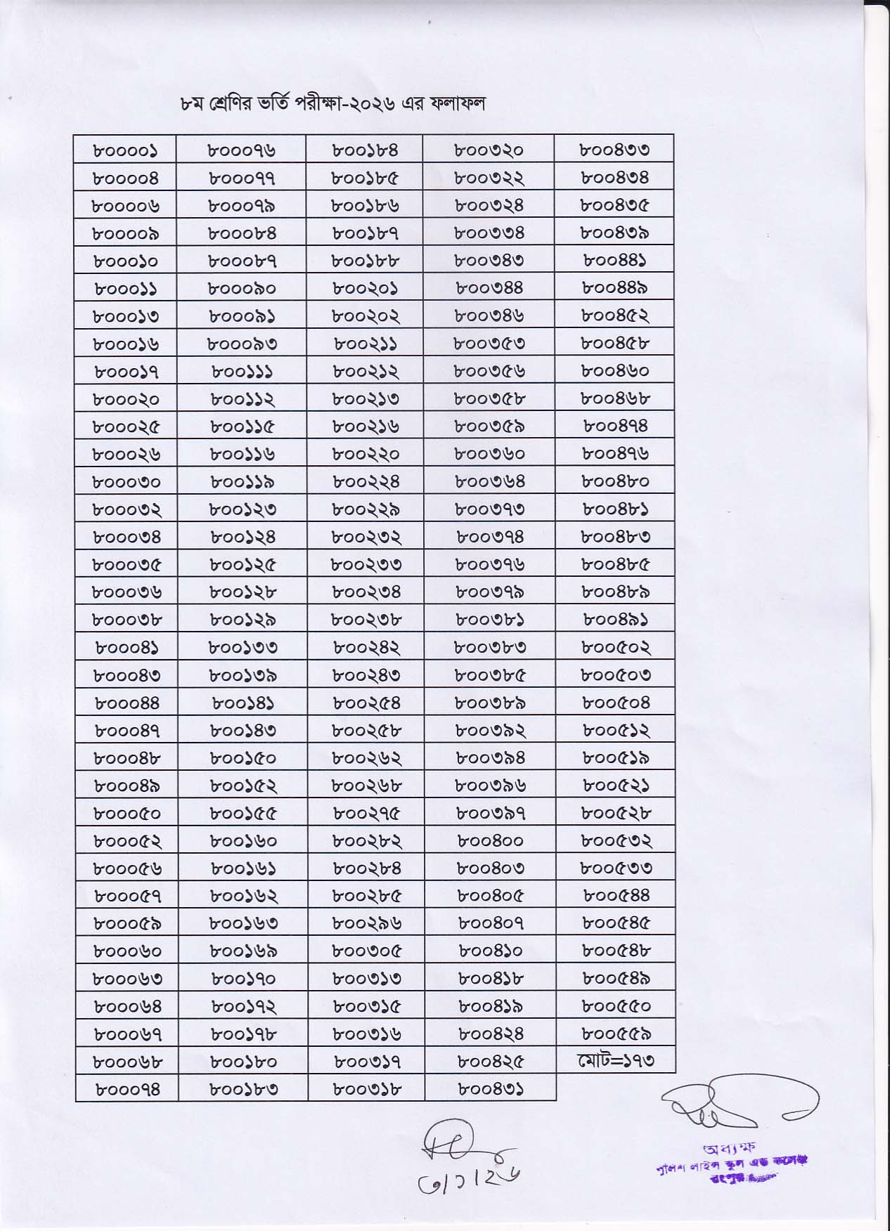
৮ম শ্রেণির ভর্তি পরীক্ষা-২০২৬ এর ফলাফল

Our College is the best choice for your Child